2005 IRISH SCIENTIST YEAR BOOK

Home Page

Table of contents

Index by Author

Index by topics

Search


University College Dublin

Kevin Murtagh *
Mother Nature's chemistry set

For centuries now plants, animals, even sea life and microbes have been viewed as sources of drugs useful to human health, indeed it is often said that the remedies to many of the illnesses that afflict mankind are lying hidden deep within the rainforests or at the bottom of the ocean, awaiting discovery. It should come as no surprise therefore that many of the well known multimillion-dollar selling drugs produced today by pharmaceutical companies are extracts from natural sources. Mother Nature has become quite adept at fighting disease; she has been doing so for millennia.

There are numerous examples of naturally derived pharmaceuticals. Taxol�, a widely-used drug currently used in the treatment of a large variety of cancers, is produced naturally by the Pacific Yew tree, indigenous to North America. Extracts of the European mistletoe are shown to be able to stimulate the immune system, have anti-cancer effects and may have some use in the treatment of diabetes. Discodermolide, a new potent anti-cancer drug extracted from a marine sponge is currently undergoing clinical trials as a treatment for pancreatic cancer. It is not only plant-life that produces useful pharmaceuticals. Within the rainforest of Ecuador resides a small, colorful, amphibian called Epipedobates tricolor (see picture). For generations, natives of the tropical rainforest have prepared for hunting by rubbing the tips of their blow darts on the skin of this tiny frog, aptly nicknamed the "poison-dart" frog. The potent toxin secreted by this frog has recently been investigated as a human analgesic with more potent pain-killing properties than opiates (such as morphine or codeine) used at present, yet without the drawbacks of dependency or addiction.


Epipedobates tricolor

These few examples highlight the myriad of amazing chemicals, produced in nature that can be used as pharmaceutical agents. However, there are often important environmental considerations that must be taken into account before exploiting a new drug. For instance, in order to obtain enough Taxol� to treat one patient, three one-hundred year old trees must be felled and processed. Similarly, to obtain 60 grammes of discodermolide, three tonnes of dried sponge must be processed. These examples pose the question � should we exploit these finite resources to the point of their potential extinction and risk losing these precious gifts of nature? Undoubtedly, this would be an unwise move. Could chemists take inspiration from Mother Nature and synthesize these natural products in the laboratory on a scale facilitating drug therapy � leaving our environmental resources unscathed? The need for the ability to synthesize complex molecules in the laboratory is consequently emphasised.

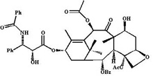
Before a chemist can replicate a naturally occurring chemical, the first step is to deduce its chemical structure. This can be quite an arduous task; many drugs have an extremely complicated framework of atoms (see figure below). Chemists have a number of tools at their disposal to facilitate this process. Various spectroscopic procedures can probe the individual characteristic 'fingerprint' of the molecule, giving clues to its possible structure. Once the structure has been elucidated, the exact three-dimensional framework must be reproduced in the lab using chemical techniques developed by synthetic organic chemists. The synthesized 'artificial' drug molecule is identical in every way to the naturally occurring compound. This work has been carried out by pharmaceutical companies, which wish to mass produce naturally occurring drugs, without impacting upon environmental issues, examples being Bristol-Myers-Squib who manufacture Taxol�, and Novartis who produce discodermolide.


The Chemical Structure of Taxol�

Modern science continually discovers remarkable naturally occurring chemicals. If mankind is to reap the benefits, it is important, both from an environmental and an economic viewpoint, that chemists develop new methods to artificially synthesize these novel drugs. The alternative is the expediated destruction of our natural resources and the concomitant loss of potential future discoveries.




*Kevin Murtagh, Conway Synthesis & Chemical Biology, won first prize in AccesScience '05; a competition for 3rd year postgraduate students held in UCD in March 2005. This is a summary of his presentation.


Contact: Kevin Murtagh, Department of Chemistry,
Centre for Synthesis and Chemical Biology,
Conway Institute, UCD, Belfield, Dublin 4;
Tel: (01) 7162319; E-mail: [email protected]